Nhằm đáp ứng nhu cầu thông tin của quý phụ huynh và các thí sinh về kỳ thi quan trọng này, UEF sẽ thường xuyên cập nhật gợi ý giải đề thi các môn, nhận xét đề thi cũng như các thông tin liên quan đến quá trình thi tuyển.
Sáng 1/7, thí sinh cả nước bước vào kỳ thi THPT quốc gia 2015. Ảnh: Hoàng Hà
Sáng nay (1/7/2015), gần một triệu thí sinh dự kỳ thi THPT quốc gia bắt đầu làm bài thi môn Toán.
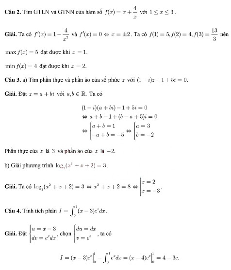
Gợi ý đáp án môn Toán:
![]()
Một số thí sinh tan thi sớm cho biết đề Toán có tính phân loại cao
![]()
![]()
![]()
![]()
Sáng 2/7, thí sinh bắt đầu ngày thi THPT quốc gia thứ hai với môn Văn. Tại một số điểm thi, vừa hết 2/3 thời gian nhiều thí sinh đã hoàn thành xong bài thi. Các thí sinh ra sớm cho rằng đề văn không gây bất ngờ, khá vừa sức và có tính phân hoá. Đề khá dễ đoán với câu hỏi cập nhật tình hình thời sự ở Hoàng Sa, Trường Sa, thí sinh đặc biệt thích hình ảnh các chiến sĩ ngoài biển đảo đã gian nan, khổ cực canh giữ biên giới quê hương; câu chuyện bạo lực không hẳn là quá thời sự nhưng cũng có nhiều điều đáng nói.
Đề thi môn Văn:
Gợi ý bài giải môn Văn:
I. PHẦN ĐỌC HIỂU (3,0 điểm)
Đọc đoạn thơ sau và thực hiện các yêu cầu từ câu 1 đến câu 4:
Câu 1: Đoạn thơ được viết theo thể thơ tự do.
Câu 2: Cuộc sống gian khổ và nguy hiểm trên đảo của người lính được miêu tả qua những từ ngữ: chân lều bạt, “có người ngã trước miệng cá mập”, “có người bị vùi dưới cơn bão dữ tợn”
Câu 3: Câu thơ sử dụng biện pháp nghệ thuật so sánh: so sánh những quần đảo với ngọc dát
Hiệu quả của biện pháp tu từ: thể hiện vẻ đẹp của biển đảo Hoàng Sa và Trường Sa với một niềm tự hào và tự tôn dân tộc
Câu 4: Đoạn thơ đã gợi lên cho chúng ta tình cảm yêu mến, cảm phục trước tinh thần vượt lên gian khổ và sự lạc quan của người lính đảo.
Từ đó HS có thể nêu trách nhiệm của bản thân với việc giữ gìn biển đảo quê hương
II. PHẦN LÀM VĂN (7,0 điểm)
Câu 1 (3,0 điểm) Có ý kiến cho rằng : Việc rèn luyện kỹ năng sống cũng cần thiết như việc tích lũy kiến thức
Anh/chị hãy viết bài văn nghị luận (khoảng 600 chữ) bày tỏ suy nghĩ của mình về vấn đề trên.
Yêu cầu chung
- Câu này kiểm tra năng lực viết bài nghị luận xã hội của thí sinh; đòi hỏi thí sinh phải huy động những hiểu biết về đời sống xã hội, kĩ năng tạo lập văn bản và khả năng bày tỏ quan điểm riêng của mình để làm bài. Trong đó, đặc biệt lưu ý đến việc thể hiện bố cục hoàn chỉnh của một bài văn nghị luận (có đủ mở bài, thân bài, kết bài; thân bài phải bao gồm nhiều đoạn văn), cách hành văn, chính xác và sinh động. Đồng thời phải đáp ứng đúng và đầy đủ yêu cầu về luận đề và nội dung.
- Thí sinh có thể triển khai vấn đề theo nhiều cách khác nhau, nhưng phải có lí lẽ và căn cứ xác đáng; được tự do bày tỏ quan điểm của mình, nhưng phải có thái độ chân thành, nghiêm túc, phù hợp với chuẩn mực đạo đức xã hội và luật pháp.
Yêu cầu cụ thể
1. Giải thích ý kiến
Thí sinh cần giải thích thế nào là kỹ năng sống và việc tích lũy kiến thức. Kỹ năng sống là những kỹ năng cần thiết giúp con người sống và sống hội nhập được với xã hội. Chẳng hạn như kỹ năng giao tiếp, kỹ năng nói trước đám đông, kỹ năng sinh tồn và vượt thoát trong hoàn cảnh khó khăn, hoạn nạn, kỹ năng làm việc nhóm, kỹ năng học tập có phương pháp, kỹ năng giải quyết khó khăn, kỹ năng đối phó với nguy hiểm, kỹ năng hòa hợp với thiên nhiên,... Từ đó xác định ý kiến được nêu trong đề có nội dung khẳng định vai trò quan trọng của việc rèn luyện kỹ năng sống: cũng cần thiết như việc tích lũy kiến thức.
2. Bàn luận
Thí sinh có thể mở rộng sự bàn luận ra các hướng khác nhau; dưới đây là những ý tham khảo (không nhất thiết thí sinh phải làm giống những ý này):
- Để có thể hòa hợp với đời sống xã hội, con người cần phải tích lũy một số kiến thức căn bản từ gia đình, nhà trường, xã hội, sách vở, báo chí,...
- Có nhiều người bị vấp ngã một cách đau đớn vì thiếu kỹ năng sống. Đôi khi thiếu vài kỹ năng sống nào đó mà con người phải trả một giá khá đắt (ví dụ minh họa).
- Thiếu kỹ năng sống, người ta có thể hành động một cách sai trái, dại dột. Từ đó trở thành mối nguy hiểm cho xã hội (ví dụ minh họa: thiếu kỹ năng giải quyết những va chạm tình cờ gặp phải trong cuộc sống, chỉ từ một sự va chạm nhỏ trong giao thông, người ta có thể trở thành một kẻ sát nhân) .
- Có kỹ năng sống tốt, phù hợp với hoàn cảnh xã hội, người ta dễ đạt được sự thăng tiến. Có nhiều người kiến thức và học vị không cao nhưng có kỹ năng sống tốt đã đạt được nhiều thành công lớn trong cuộc sống (ví dụ minh họa)
- Cuộc sống phát triển, khoa học công nghệ ngày càng đổi mới. Nó đòi hỏi người làm việc phải có những cái kỹ năng mới như kỹ năng làm việc nhóm, kỹ năng về ngoại ngữ, tin học, kỹ năng hội nhập với cộng đồng quốc tế, kỹ năng ứng xử với những mặt trái của mạng xã hội,... Ví dụ trường hợp một nữ sinh đã tự tử vì không biết cách ứng phó với hành vi xấu xúc phạm đến đời tư từ mạng xã hội.
- Khẳng định tính đúng đắn của luận đề: rèn luyện kỹ năng sống là một việc cần thiết không kém với việc tích lũy kiến thức, đặc biệt đối với lứa tuổi học sinh.
3. Bài học nhận thức và hành động
Từ những suy nghĩ và liên hệ của mình, thí sinh có thể rút ra những bài học khác nhau; dưới đây là những ý tham khảo:
- Kỹ năng sống không phải tự dưng mà có, nó đòi hỏi xã hội và bản thân phải có ý thức sâu sắc về sự quan trọng của việc rèn luyện kỹ năng sống. Từ trong gia đình, ông bà cha mẹ, anh chị, ngay từ đầu phải có ý thức giáo dục và rèn luyện kỹ năng sống cho con em của mình. Nhà trường nên đưa kỹ năng sống vào giờ học chính khóa và xem đó là một trong những mục tiêu giáo dục quan trọng, bên cạnh việc giáo dục kiến thức. Các tổ chức xã hội cũng nên cũng tạo điều kiện để mọi công dân được rèn luyện kỹ năng sống. Các cấp chính quyền cần xây dựng môi trường sống lành mạnh để góp phần tạo lập nếp sống phù hợp với chuẩn mực pháp luật và đạo đức nêu tấm gương tốt cho những người trẻ phấn đấu và hành xử.
- Bản thân từng người, nhất là học sinh, sinh viên cần phải thấy sự cần thiết và ích lợi của việc rèn luyện kỹ năng sống để từ đó bên cạnh việc trao dồi kiến thức có ý thức và nỗ lực rèn luyện kỹ năng sống.
- Nếu bên cạnh kiến thức tốt, tất cả mọi người đều có kỹ năng sống tốt thì đời sống xã hội sẽ trở nên tốt đẹp và đáng sống hơn.
III. Làm văn
Yêu cầu chung
- Câu này kiểm tra năng lực viết bài nghị luận văn học của thí sinh; đòi hỏi thí sinh phải huy động kiến thức về tác phẩm văn học, lí luận văn học, kĩ năng tạo lập văn bản và khả năng cảm nhận văn chương của mình để làm bài.
- Thí sinh có thể cảm nhận và kiến giải theo những cách khác nhau, nhưng phải có lí lẽ, có căn cứ xác đáng, không được thoát li văn bản tác phẩm.
Yêu cầu cụ thể
1. Vài nét về tác giả, tác phẩm 0,5
- Hoàng Phủ Ngọc Tường là nhà văn chuyên về bút kí, có văn phong giàu chất trí tuệ và tài hoa.
- Ai đã đặt tên cho dòng sông? là tác phẩm xuất sắc thể hiện tình yêu của tác giả dành cho xứ Huế và cũng là cho đất nước. Hình tượng sông Hương được khắc họa với nhiều vẻ đẹp khác nhau.
2. Giải thích ý kiến 0,5
- Vẻ đẹp nổi bật là vẻ đẹp hiện trên bề nổi, gây ấn tượng vượt trội, dễ nhận thấy bằng trực cảm.
Ý kiến thứ nhất coi cảnh sắc thiên nhiên thơ mộng, tình tứ là vẻ đẹp nổi bật của sông Hương.
- Vẻ đẹp bề sâu là vẻ đẹp ẩn chìm, đòi hỏi phải có tri thức sâu rộng và chiêm nghiệm công phu mới khám phá được. Ý kiến thứ hai coi những trầm tích văn hóa, lịch sử là vẻ đẹp bề sâu của sông Hương.
2 Câu Ý Nội dung Điểm
3. Cảm nhận về hình tượng sông Hương 3,0
4. Bình luận về ý kiến 1,0
Thí sinh có thể cảm nhận về các vẻ đẹp khác của hình tượng sông Hương, nhưng cần bám sát các ý kiến nêu trong đề. Dưới đây là những ý tham khảo:
- Vẻ đẹp của cảnh sắc thiên nhiên thơ mộng, tình tứ: những cảnh trí, sắc màu của sông nước, núi đồi, bãi biền, cây cỏ,... giàu chất thơ, đầy gợi cảm; những dáng nét của khúc uốn, đường cong, điệu chảy, nhịp trôi,... gợi nhiều liên tưởng về mĩ nhân, về tình tự lứa đôi đầy quyến rũ và say đắm.
- Vẻ đẹp của những trầm tích văn hóa, lịch sử: sông Hương là “người mẹ phù sa của một vùng văn hóa xứ sở”, và bao đời nay vẫn được tô điểm bởi vô vàn công trình thi ca, âm nhạc, hội họa, kiến trúc, điêu khắc; sông Hương gắn với biết bao võ công oanh liệt qua các thời đại lịch sử.
- Nghệ thuật: phối hợp kể và tả; biện pháp ẩn dụ, nhân hóa, so sánh; ngôn ngữ giàu chất trữ tình, chất triết luận.
Thí sinh có thể đồng tình với một trong hai, hoặc với cả hai ý kiến trên; cũng có thể đưa ra nhận định khác của riêng mình. Dưới đây là những ý tham khảo:
- Cả hai ý kiến đều có tính khái quát, sâu sắc, nhấn mạnh những vẻ đẹp khác nhau của hình tượng sông Hương: cảnh sắc thiên nhiên thơ mộng, tình tứ là vẻ đẹp nổi bật; những trầm tích văn hóa, lịch sử là vẻ đẹp bề sâu.
- Hai ý kiến tuy khác nhau nhưng không đối lập mà bổ sung cho nhau, hợp thành sự nhìn nhận toàn diện và thống nhất về vẻ đẹp của sông Hương.
Bắt đầu từ 14 giờ 30 phút chiều 2/7, thí sinh dự kỳ thi THPT quốc gia làm bài thi môn Vật lý với hình thức thi trắc nghiệm, thời gian 90 phút. Theo thống kê của Bộ GD-ĐT, tổng số thí sinh dự thi môn Vật lý là gần 480.000 thí sinh.
ĐỀ THI (mã đề 138):
GỢI Ý ĐÁP ÁN (mã đề 138)
![]()
* Học sinh nhận xét đề thi môn lý
Nhiều thí sinh dự thi tại TP.HCM bước ra khỏi phòng thi nhận định đề thi lý năm nay khá khó, các em làm được tầm 50% đề ra.
Thí sinh Võ Thị Bích Ngân (thi tại cụm thi Đại học Sư phạm Kỹ thuật TP.HCM) cho biết: " Đề thi lý năm nay khá khó, số lượng câu em làm được chỉ 50%".
Thí sinh Vương Văn Long (học sinh Trường THPT Biên Hòa, Đồng Nai), nhận xét: "Em làm được 60% đề thi, em thấy đề có nhiều câu hỏi thú vị như đưa Trường Sa vào câu hỏi về sóng vô tuyến truyền hình. Tuy nhiên cũng có những câu hỏi khó dùng để phân loại thí sinh xét tuyển vào cao đẳng, đại học".
Thí sinh Hồ Thị Trà My (thí sinh tự do, đến từ Long Khánh, Đồng Nai) chia sẻ: "Em không tự tin lắm với đề thi này. 20-30 câu đầu, em cảm thấy dễ, còn những câu tiếp theo hơi khó. (Phan Giang - Hoài Nhơn - Thanh niên ghi)
Theo thống kê từ Bộ GD-ĐT, môn địa lý có gần 390.000 thí sinh đăng kí dự thi và môn hóa học gần 460.000 đăng ký.
Buổi sáng thí sinh dự thi môn địa lý với thời gian làm bài 180 phút (phát đề lúc 7g45 và bắt đầu làm bài từ 8g). Buổi chiều thí sinh dự thi môn hóa học (phát đề lúc 14g15 và làm bài lúc 14g30).
*Tại TP.HCM: Kết thúc 2/3 thời gian làm bài môn địa lý, rất nhiều thí sinh đã ra khỏi phòng thi. Hầu hết các thí sinh cho rằng đề thi môn địa dễ thở, sử dụng Atlat là có thể làm tốt bài thi. Nội dung đề thi tập trung về biển đảo, bảo vệ biên giới cũng đã được thầy cô ở trường phổ thông ôn thi kỹ càng.
Tại điểm thi THPT Gia Định, quận Bình Thạnh, TP.HCM. Hầu hết các bạn tự tin bài làm của mình đạt kết quả tốt.
Phạm Ngọc Thái (THPT Đông Đô) là thí sinh ra đầu tiên tra cho biết: “Mình làm bài được, đề có 4 câu trong đó câu biển đảo dễ, với đề này, mình làm được 7-8 điểm. Thí sinh Cẩm Tú (THPT Nguyễn Hữu Cảnh) chia sẻ bạn làm được bài. Một số thí sinh khác cho hay các bạn làm được trên 60% và đề khá dễ, gần với đề minh họa của bộ.
Tại điểm thi Trường ĐH Khoa học tự nhiên thuộc cụm thi ĐH Quốc gia TP.HCM, hầu hết thí sinh ra về sau khi hết 2/3 thời gian làm bài. Các thí sinh tự tin sẽ đạt điểm cao với đề địa năm nay. Đề thi đề cập đến ý nghĩa của việc bảo vệ biển đảo, biên giới với Trung Quốc và tài nguyên quốc gia. (Theo Tuổi trẻ)
Đề thi chính thức môn Địa lý:
![]()
Gợi ý đáp án môn Địa lý THPT quốc gia 2015:
Câu I(2,0 điểm).
1. Đặc điểm sông ngòi Việt Nam
- Đặc điểm nổi trội nhất của sông ngòi nước ta đó là: nhiều sông (mạng lưới sông ngòi dày đặc); sông nhiều nước, giàu phù sa và chế độ nước thì theo nhịp điệu của mùa.
- Mạng lưới sông ngòi dày đặc được thể hiện qua số lượng con sông có chiều dài trên 10 km là 2360 con sông; dọc theo bờ biển trung bình cứ 20 km lại gặp một cửa sông.
- Nhiều nước và giàu phù sa: tổng lượng nước 839 tỉ m3/năm (60% là lượng nước ngoài lãnh thổ); tổng lượng phù sa hàng năm của tất cả sông ngòi nước ta khoảng 200 triệu tấn.
- Chế độ nước sông theo sát nhịp địa mùa: mùa lũ của sông cũng tương ứng mùa mưa của khí hậu và mùa kiệt tương ứng với mùa khô. Chế độ khí hậu thất thường cũng làm cho chế độ nước sông thất thường.
2. Đặc điểm nguồn lao động của nước ta
- Số lượng:
- Nguồn lao động rất dồi dào: 42,53 triệu người, chiếm 51,2% dân số (năm 2005), 49,32 triệu người (chiếm 57,3%) năm 2009.
- Trung bình mỗi năm số lao động lại tăng thêm khoảng trên 1 triệu người.
- Chất lượng lao động đang ngày càng được nâng lên. Người lao động nước ta cần cù, sáng tạo, có kinh nghiệm sản xuất phong phú gắn với truyền thống dân tộc được tích lũy qua nhiều thế hệ.
- Tuy nhiên nguồn lao động nước ta có một số hạn chế đang tồn tại:
· Số lượng lao động chưa qua đào tạo vẫn còn chiếm tỉ lệ cao, 75% năm 2005.
· Lực lượng lao động có trình độ cao còn mỏng chưa đáp ứng được nhu cầu phát triển kinh tế đất nước. Tỉ lệ lao động đã qua đào tạo mới đạt 25% năm 2005.
Câu II (2,0 điểm)
1. Các tỉnh của nước ta có đường biên giới trên đất liền chung với Trung Quốc: Điện Biên, Lai Châu, Lào Cai, Hà Giang, Cao Bằng, Lạng Sơn, Quảng Ninh
2. Các trung tâm công nghiệp ở vùng kinh tế trọng điểm miền Trung: Huế, Đà Nẵng, Quảng Ngãi, Qui Nhơn
Câu III (3,0 điểm)
1. Vẽ biểu đồ kết hợp
Cột chồng thể hiện: Tổng diện tích
Đường thể hiện: giá trị sản xuất
Lưu ý: Vẽ biểu đồ chính xác, có đầy đủ các số liệu, thời gian, đơn vị, chú giải và tên
![]()
2. Nhận xét tình hình phát triển của ngành trồng cây công nghiệp từ biểu đồ đã vẽ và giải thích
-Có xu hướng tăng cả về diện tích và giá trị sản xuất (dẫn chứng).
-Tổng diện tích cây công nghiệp: Tăng qua từ 2496 nghìn ha lên 2953 nghìn ha
-Trong đó tăng mạnh là cây công nghiệp lâu năm (dẫn chứng).
Lí do:
· Nước ta đã hình thành được các vùng chuyên canh cây công nghiệp lâu năm với quy mô lớn trên các vùng của cả nước.
· Chính sách tập trung lực cho phát triển các cây công nghiệp chủ lực.
· Giá trị lợi ích kinh tế cao thu hút được đông đảo người dân tham gia.
- Tuy nhiên lại giảm diện tích cây công nghiệp hàng năm (dẫn chứng).
· Do ảnh hưởng của việc phát triển các cơ sở kinh tế, một phần quĩ đất bị chuyển đổi sang hình thức khác.
- Giá trị sản xuất tăng qua các năm (dẫn chứng).
Lí do:
- Tập trung mở rộng nhiều loại cây chủ lực có giá trị kinh tế cao.
- Đầu tư nâng cao chất lượng sản phẩm đầu ra.
- Nhu cầu thị trường trong nước và cho xuất khẩu tăng.
- Các chính sách tiêu chuẩn áp dụng của nhà nước.
- Uy tín thương hiệu được nâng cao trên thị trường.
Câu IV (3,0 điểm)
1. Thế mạnh tự nhiên phát triển công nghiệp khai thác than và dầu khí ở nước ta:
Khai thác than:
· Có nhiều loại than: Antraxit, than mỡ, than bùn, than nâu.
· Trữ lượng lớn dẫn đầu trong khu vực Đông Nam Á và tập trung chủ yếu ở bể than Đông Bắc (Quảng Ninh chiếm hơn 90% trữ lượng cả nước). Có nhiều mỏ dễ dàng đẩy mạnh khai thác theo hình thức lộ thiên.
Khai thác dầu khí:
· Trữ lượng lớn: Vài tỉ tấn dầu mỏ và hàng trăm tỉ m3 khí đồng hành.
· Phân bố: Các bể trầm tích ngoài thềm lục địa không quá sâu, tạo thuận lợi cho việc đặt giàn khoan khai thác.
Các nhà máy thủy điện có công suất lớn tập trung nhiều ở TDMNBB vì:
· Đây là khu vực có địa hình dốc và cao nhất cả nước, có nhiều hệ thống sông lớn (sông Hồng, sông Đà, sông Lô) với trữ năng thủy điện lớn bậc nhất nước ta.
· Nhà máy thủy điện Hòa Bình có công suất 1920 MW, nhà máy thủy điện Sơn La có công suất 2400 MW,... là những nhà máy thủy điện có công suất lớn nhất cả nước.
2. Điều kiện tự nhiên thuận lợi phát triển ngành kinh tế biển:
· Đường bờ biển dài, vùng đặc quyền kinh tế rộng.
· Vùng biển nước ta thuộc vùng biển nóng cho phép khai thác kinh tế biển quanh năm.
Nguồn lợi hải sản khá phong phú (tổng trữ lượng khoảng 3,9 - 4,0 triệu tấn).
Có nhiều ngư trường, với 4 ngư trường lớn.
· Có nhiều thuận lợi cho ngành nuôi trồng thuỷ sản: biển nhiều ánh sáng, giàu ô xi,, sinh vật biển phong phú, giàu thành phần loài.
· Tập trung nhiều loại khoáng sản biển: Có nguồn muối dồi dào vô tận, có ô xit titan, cát trắng và trữ lượng dầu khí tương đối lớn.
Vùng biển nước ta có nhiều điều kiện thuận lợi phát triển du lịch biển đảo: nhiều bãi tắm rộng, phong cảnh đẹp, khí hậu tốt thuận lợi cho phát triển du lịch và nghỉ dưỡng.
Khai thác kinh tế biển đảo có ý nghĩa chiến lược trong công cuộc phát triển kinh tế và bảo vệ tổ quốc vì:
- Vùng biển nước ta có khoảng 4000 hòn đảo lớn nhỏ với 12 huyện đảo.Khai thác kinh tế biển đảo có ý nghĩa trong chiến lược phát triển kinh tế - xã hội và bảo vệ tổ quốc:
· Phát triển ngành đánh bắt và nuôi trồng hải sản; ngành công nghiệp chế biến hải sản, giao thông vận tải biển, du lịch...
· Giải quyết việc làm, nâng cao đời sống cho nhân dân các huyện đảo và vùng ven biển.
· Khẳng định chủ quyền của nước ta đối với vùng biển và thềm lục địa.
Nguồn: Ban chuyên môn Hocmai.vn
Chiều nay, gần 460.000 thí sinh sẽ dự thi môn hóa học. Tương tự như môn địa lý sáng nay, buổi thi môn hóa cũng có nhiều điểm thi đóng cửa hoặc chỉ có một, hai phòng thi do lượng thí sinh đăng ký dự thi không nhiều.
Ngay sau khi kết thúc giờ thi, UEF sẽ cập nhật liên tục đề thi và gợi ý bài giải của môn thi này. Mời quý phụ huynh và các thí sinh chú ý đón xem.
Môn hóa học có gần 460.000 thí sinh dự thi
Đề thi chính thức môn Hóa:
Gợi ý đáp án môn Hóa:
- Đáp án kỳ thi THPT quốc gia môn Lịch sử
Ngày 4/7, thí sinh cả nước sẽ bước vào ngày thi cuối cùng của kỳ thi THPT quốc gia với hai môn thi: lịch sử và sinh học. Theo thông tin từ Bộ GD & ĐT, lịch sử là môn ít thí sinh đăng ký thi nhất, cả nước chỉ có khoảng 153.000 thí sinh.
Theo ghi nhận sáng nay các thí sinh tại TPHCM đi thi từ rất sớm và tâm lý khá lo lắng và hồi hộp, ai ai cũng chăm chú đem tài liệu ra để ôn lại bài. Theo xu thế ra đề các môn khối C trong kỳ thi năm nay luôn đưa ra các vấn đề nóng thời sự được xã hội quan tâm trong thời gian qua, nên một số thí sinh cũng phần nào nhận định đề thi sử sẽ có những nội dung này (Theo PV Dân Trí).
Đề thi chính thức môn Lịch sử
![]()
Gợi ý đáp án môn Lịch sử
![]()
Giải đề: Hocmai.vn
- Đáp án kỳ thi THPT quốc gia môn Sinh học
Chiều 4/7, thí sinh đã hoàn thành môn Sinh học - môn thi cuối cùng của kỳ thi THPT quốc gia.
Trưa cùng ngày, tại buổi làm việc với cụm thi 27 (ĐH Đà Nẵng chủ trì) của kỳ thi THPT quốc gia 2015, Thứ trưởng Bộ GD-ĐT Bùi Văn Ga yêu cầu các trường sau mỗi môn thi tiến hành rọc phách sẵn. Tối nay, Bộ GD-ĐT sẽ chuyển đáp án, thang điểm chi tiết các môn thi đến tất cả các trường để có thể bắt đầu công tác chấm thi.
“Tất cả các trường phải đốc thúc việc chấm thi được diễn ra nghiêm túc, và phải hoàn tất vào điểm trước ngày 20.7 để toàn bộ hệ thống làm việc mà không phải chờ đợi bất cứ trường nào; không để thí sinh, phụ huynh phải chờ đợi kết quả thi quá lâu”, Thứ trưởng Bùi Văn Ga yêu cầu. (Theo Thanh niên)
Đề thi chính thức môn Sinh học - kỳ thi THPT quốc gia: (Mã đề 851)
![]()
![]()
![]()
(Nguồn: VnExpress)
Gợi ý đáp án môn Sinh học - kỳ thi THPT quốc gia:
Trung tâm TV-TS-TT