
> Nhấn F5 để cập nhật thông tin

Thí sinh được đo thân nhiệt trước khi vào điểm thi - ảnh Hồng Quân
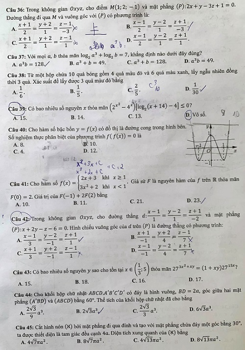
> Đề thi môn Toán - kỳ thi tốt nghiệp THPT 2021 - đợt 1
Mã đề thi 109:





Mã đề thi 119:





> Đáp án tham khảo môn Toán - kỳ thi tốt nghiệp THPT 2021 - đợt 1
(Do giảng viên Trung tâm 247 thực hiện - Zing)
Mã đề thi 101
| 1.A | 2.C | 3.B | 4.D | 5.D | 6.A | 7.D | 8.D | 9.A | 10.C |
| 11.A | 12.A | 13.C | 14.A | 15.C | 16.B | 17.C | 18.A | 19.B | 20.A |
| 21.B | 22.D | 23.B | 24.A | 25.B | 26.C | 27.B | 28.B | 29.B | 30.A |
| 31.C | 32.D | 33.B | 34.B | 35.A | 36.C | 37.A | 38.A | 39.A | 40.B |
| 41.D | 42.D | 43.B | 44.D | 45.C | 46.D | 47.C | 48.D | 49.D | 50.A |
Mã đề thi 102
| 1.C | 2.D | 3.D | 4.D | 5.A | 6.A | 7.C | 8.C | 9.C | 10.A |
| 11.B | 12.D | 13.A | 14.B | 15.D | 16.D | 17.B | 18.D | 19.C | 20.C |
| 21.D | 22.D | 23.C | 24.D | 25.C | 26.A | 27.D | 28.D | 29.B | 30.B |
| 31.A | 32.C | 33.C | 34.B | 35.B | 36.C | 37.B | 38.B | 39.B | 40.A |
| 41.B | 42.B | 43.A | 44.C | 45.A | 46.A | 47.A | 48.B | 49.B | 50.C |
Mã đề thi 103
| 1.B | 2.C | 3.C | 4.D | 5.C | 6.C | 7.B | 8.A | 9.B | 10.C |
| 11.D | 12.A | 13.C | 14.A | 15.B | 16.C | 17.B | 18.D | 19.C | 20.D |
| 21.C | 22.A | 23.A | 24.B | 25.C | 26.A | 27.D | 28.A | 29.B | 30.A |
| 31.A | 32.D | 33.D | 34.B | 35.B | 36.A | 37.B | 38.A | 39.D | 40.D |
| 41.B | 42.D | 43.B | 44.A | 45.D | 46.A | 47.D | 48.B | 49.D | 50.A |
Mã đề thi 104
| 1.B | 2.C | 3.D | 4.C | 5.C | 6.D | 7.C | 8.B | 9.B | 10.B |
| 11.C | 12.C | 13.B | 14.C | 15.C | 16.C | 17.A | 18.B | 19.A | 20.D |
| 21.D | 22.B | 23.A | 24.A | 25.C | 26.A | 27.D | 28.B | 29.A | 30.D |
| 31.A | 32.D | 33.B | 34.A | 35.A | 36.A | 37.B | 38.A | 39.B | 40.D |
| 41.A | 42.B | 43.D | 44.B | 45.D | 46.B | 47.B | 48.B | 49.A | 50.D |
Mã đề thi 105
| 1.A | 2.B | 3.B | 4.D | 5.D | 6.B | 7.D | 8.C | 9.C | 10.B |
| 11.C | 12.B | 13.A | 14.C | 15.B | 16.C | 17.B | 18.B | 19.A | 20.D |
| 21.A | 22.D | 23.A | 24.A | 25.D | 26.D | 27.C | 28.B | 29.D | 30.B |
| 31.D | 32.C | 33.C | 34.B | 35.A | 36.A | 37.C | 38.C | 39.D | 40.B |
| 41.D | 42.C | 43.A | 44.C | 45.C | 46.B | 47.C | 48.A | 49.A | 50.D |
Mã đề thi 106
| 1.C | 2.B | 3.D | 4.D | 5.C | 6.A | 7.B | 8.B | 9.C | 10.C |
| 11.D | 12.B | 13.D | 14.D | 15.A | 16.C | 17.C | 18.C | 19.A | 20.C |
| 21.B | 22.B | 23.C | 24.B | 25.D | 26.D | 27.B | 28.A | 29.A | 30.C |
| 31.C | 32.B | 33.D | 34.D | 35.C | 36.B | 37.A | 38.A | 39.A | 40.B |
| 41.A | 42.B | 43.B | 44.D | 45.B | 46.A | 47.B | 48.A | 49.A | 50.D |
Mã đề thi 107
| 1.A | 2.C | 3.C | 4.A | 5.D | 6.B | 7.C | 8.D | 9.C | 10.C |
| 11.D | 12.D | 13.B | 14.B | 15.D | 16.B | 17.C | 18.B | 19.C | 20.A |
| 21.C | 22.D | 23.C | 24.A | 25.D | 26.B | 27.D | 28.A | 29.B | 30.C |
| 31.C | 32.D | 33.C | 34.C | 35.D | 36.D | 37.D | 38.A | 39.A | 40.B |
| 41.C | 42.B | 43.A | 44.A | 45.B | 46.C | 47.D | 48.A | 49.A | 50.B |
Mã đề thi 108
| 1.C | 2.C | 3.B | 4.C | 5.D | 6.A | 7.A | 8.B | 9.C | 10.C |
| 11.D | 12.A | 13.B | 14.A | 15.B | 16.D | 17.D | 18.D | 19.B | 20.A |
| 21.B | 22.B | 23.A | 24.D | 25.A | 26.B | 27.A | 28.A | 29.B | 30.A |
| 31.A | 32.D | 33.B | 34.A | 35.B | 36.D | 37.A | 38.D | 39.B | 40.D |
| 41.C | 42.B | 43.D | 44.A | 45.D | 46.B | 47.A | 48.D | 49.B | 50.D |
Mã đề thi 109
| 1.A | 2.A | 3.D | 4.A | 5.A | 6.C | 7.B | 8.C | 9.B | 10.B |
| 11.B | 12.C | 13.B | 14.A | 15.B | 16.A | 17.B | 18.A | 19.B | 20.B |
| 21.B | 22.C | 23.C | 24.D | 25.C | 26.C | 27.D | 28.A | 29.B | 30.A |
| 31.A | 32.D | 33.C | 34.D | 35.A | 36.C | 37.D | 38.C | 39.D | 40.D |
| 41.C | 42.D | 43.A | 44.A | 45.C | 46.C | 47.B | 48.A | 49.A | 50.C |
Mã đề thi 110
| 1.A | 2.A | 3.A | 4.D | 5.D | 6.B | 7.A | 8.A | 9.C | 10.D |
| 11.D | 12.C | 13.C | 14.D | 15.B | 16.C | 17.B | 18.B | 19.A | 20.A |
| 21.B | 22.B | 23.A | 24.B | 25.B | 26.A | 27.B | 28.C | 29.D | 30.C |
| 31.B | 32.D | 33.A | 34.D | 35.C | 36.D | 37.C | 38.A | 39.C | 40.A |
| 41.D | 42.D | 43.C | 44.C | 45.D | 46.D | 47.C | 48.D | 49.C | 50.A |
Mã đề thi 111
| 1.A | 2.B | 3.C | 4.C | 5.D | 6.D | 7.C | 8.C | 9.D | 10.D |
| 11.D | 12.B | 13.B | 14.B | 15.C | 16.D | 17.A | 18.C | 19.C | 20.D |
| 21.C | 22.B | 23.A | 24.C | 25.D | 26.A | 27.B | 28.C | 29.B | 30.D |
| 31.A | 32.C | 33.B | 34.D | 35.D | 36.D | 37.B | 38.D | 39.C | 40.B |
| 41.D | 42.C | 43.B | 44.B | 45.C | 46.B | 47.D | 48.B | 49.C | 50.C |
Mã đề thi 112
| 1.C | 2.C | 3.B | 4.D | 5.A | 6.D | 7.C | 8.A | 9.B | 10.B |
| 11.D | 12.C | 13.A | 14.D | 15.B | 16.B | 17.C | 18.A | 19.C | 20.C |
| 21.D | 22.B | 23.C | 24.D | 25.B | 26.D | 27.D | 28.A | 29.D | 30.A |
| 31.C | 32.D | 33.A | 34.C | 35.D | 36.B | 37.A | 38.B | 39.D | 40.B |
| 41.C | 42.C | 43.C | 44.A | 45.A | 46.B | 47.C | 48.D | 49.B | 50.A |
Mã đề thi 113
| 1.D | 2.B | 3.B | 4.A | 5.B | 6.C | 7.D | 8.D | 9.B | 10.A |
| 11.A | 12.B | 13.C | 14.D | 15.A | 16.D | 17.C | 18.A | 19.B | 20.B |
| 21.A | 22.B | 23.C | 24.A | 25.A | 26.B | 27.C | 28.C | 29.C | 30.A |
| 31.A | 32.C | 33.C | 34.A | 35.C | 36.C | 37.C | 38.B | 39.B | 40.B |
| 41.A | 42.C | 43.A | 44.C | 45.C | 46.B | 47.C | 48.B | 49.A | 50.B |
Mã đề thi 114
| 1.B | 2.C | 3.A | 4.D | 5.C | 6.C | 7.B | 8.D | 9.B | 10.B |
| 11.C | 12.D | 13.B | 14.A | 15.D | 16.D | 17.C | 18.B | 19.D | 20.C |
| 21.A | 22.A | 23.D | 24.A | 25.A | 26.B | 27.D | 28.B | 29.B | 30.A |
| 31.D | 32.A | 33.B | 34.D | 35.D | 36.A | 37.A | 38.D | 39.D | 40.A |
| 41.A | 42.A | 43.B | 44.A | 45.B | 46.B | 47.D | 48.B | 49.B | 50.A |
Mã đề thi 115
| 1.A | 2.C | 3.A | 4.D | 5.D | 6.D | 7.A | 8.A | 9.D | 10.B |
| 11.A | 12.A | 13.D | 14.C | 15.B | 16.C | 17.A | 18.A | 19.A | 20.B |
| 21.B | 22.B | 23.C | 24.B | 25.A | 26.A | 27.B | 28.B | 29.A | 30.C |
| 31.C | 32.B | 33.C | 34.C | 35.B | 36.B | 37.A | 38.C | 39.A | 40.B |
| 41.B | 42.C | 43.C | 44.A | 45.C | 46.C | 47.B | 48.A | 49.C | 50.C |
Mã đề thi 116
| 1.B | 2.A | 3.C | 4.D | 5.C | 6.C | 7.A | 8.A | 9.C | 10.D |
| 11.B | 12.B | 13.A | 14.B | 15.B | 16.D | 17.C | 18.C | 19.A | 20.C |
| 21.D | 22.D | 23.C | 24.C | 25.C | 26.D | 27.C | 28.D | 29.A | 30.C |
| 31.C | 32.C | 33.A | 34.A | 35.A | 36.C | 37.D | 38.C | 39.A | 40.A |
| 41.D | 42.A | 43.D | 44.A | 45.D | 46.D | 47.C | 48.A | 49.A | 50.D |
Mã đề thi 117
| 1.D | 2.C | 3.B | 4.B | 5.A | 6.D | 7.C | 8.A | 9.B | 10.C |
| 11.A | 12.A | 13.A | 14.C | 15.B | 16.A | 17.C | 18.C | 19.D | 20.A |
| 21.B | 22.A | 23.C | 24.D | 25.C | 26.D | 27.C | 28.A | 29.D | 30.C |
| 31.D | 32.A | 33.A | 34.C | 35.D | 36.D | 37.C | 38.C | 39.D | 40.D |
| 41.A | 42.C | 43.D | 44.D | 45.A | 46.D | 47.B | 48.D | 49.D | 50.A |
Mã đề thi 118
| 1.C | 2.A | 3.D | 4.C | 5.C | 6.D | 7.A | 8.A | 9.B | 10.A |
| 11.A | 12.D | 13.B | 14.D | 15.C | 16.B | 17.B | 18.A | 19.C | 20.C |
| 21.D | 22.B | 23.D | 24.A | 25.B | 26.C | 27.B | 28.A | 29.B | 30.C |
| 31.B | 32.B | 33.A | 34.D | 35.A | 36.C | 37.A | 38.B | 39.A | 40.D |
| 41.D | 42.D | 43.C | 44.B | 45.A | 46.C | 47.D | 48.B | 49.B | 50.C |
Mã đề thi 119
| 1.D | 2.C | 3.C | 4.D | 5.D | 6.C | 7.A | 8.C | 9.B | 10.B |
| 11.B | 12.A | 13.D | 14.C | 15.C | 16.A | 17.B | 18.D | 19.A | 20.D |
| 21.D | 22.B | 23.B | 24.B | 25.C | 26.A | 27.D | 28.A | 29.C | 30.C |
| 31.B | 32.B | 33.D | 34.C | 35.A | 36.B | 37.A | 38.D | 39.A | 40.B |
| 41.C | 42.D | 43.D | 44.B | 45.C | 46.A | 47.D | 48.B | 49.A | 50.B |
Mã đề thi 120
| 1.B | 2.A | 3.A | 4.B | 5.D | 6.B | 7.A | 8.A | 9.D | 10.D |
| 11.B | 12.B | 13.A | 14.A | 15.D | 16.D | 17.C | 18.C | 19.D | 20.D |
| 21.C | 22.C | 23.D | 24.C | 25.A | 26.D | 27.B | 28.D | 29.A | 30.A |
| 31.B | 32.D | 33.D | 34.C | 35.C | 36.D | 37.B | 38.C | 39.A | 40.B |
| 41.C | 42.B | 43.C | 44.A | 45.C | 46.B | 47.B | 48.A | 49.C | 50.C |
Mã đề thi 121
| 1.A | 2.D | 3.A | 4.A | 5.C | 6.D | 7.C | 8.C | 9.A | 10.C |
| 11.B | 12.C | 13.B | 14.D | 15.D | 16.D | 17.B | 18.D | 19.A | 20.B |
| 21.C | 22.B | 23.C | 24.C | 25.B | 26.D | 27.B | 28.D | 29.a | 30.D |
| 31.C | 32.D | 33.C | 34.D | 35.A | 36.D | 37.C | 38.B | 39.B | 40.A |
| 41.A | 42.C | 43.A | 44.B | 45.B | 46.A | 47.A | 48.D | 49.B | 50.A |
Mã đề thi 122
| 1.A | 2.A | 3.C | 4.A | 5.C | 6.C | 7.B | 8.D | 9.C | 10.D |
| 11.D | 12.C | 13.B | 14.A | 15.B | 16.A | 17.C | 18.B | 19.B | 20.D |
| 21.B | 22.B | 23.D | 24.D | 25.C | 26.C | 27.D | 28.B | 29.D | 30.B |
| 31.D | 32.D | 33.B | 34.C | 35.B | 36.B | 37.C | 38.D | 39.D | 40.C |
| 41.B | 42.D | 43.B | 44.B | 45.C | 46.D | 47.B | 48.C | 49.D | 50.D |
Mã đề thi 123
| 1.B | 2.A | 3.D | 4.C | 5.B | 6.D | 7.D | 8.B | 9.A | 10.C |
| 11.B | 12.A | 13.C | 14.B | 15.B | 16.C | 17.D | 18.C | 19.D | 20.A |
| 21.B | 22.A | 23.B | 24.A | 25.D | 26.B | 27.D | 28.A | 29.A | 30.C |
| 31.D | 32.A | 33.C | 34.D | 35.C | 36.D | 37.B | 38.C | 39.D | 40.C |
| 41.D | 42.A | 43.A | 44.D | 45.C | 46.A | 47.B | 48.D | 49.C | 50.D |
Mã đề thi 124
| 1.C | 2.D | 3.A | 4.C | 5.B | 6.D | 7.B | 8.A | 9.C | 10.B |
| 11.B | 12.D | 13.A | 14.A | 15.B | 16.C | 17.C | 18.B | 19.B | 20.D |
| 21.D | 22.C | 23.D | 24.D | 25.C | 26.D | 27.B | 28.C | 29.B | 30.A |
| 31.A | 32.B | 33.C | 34.B | 35.C | 36.D | 37.C | 38.C | 39.A | 40.A |
| 41.A | 42.D | 43.A | 44.D | 45.B | 46.D | 47.B | 48.A | 49.D | 50.A |
> Đáp án chính thức môn Toán - kỳ thi tốt nghiệp THPT 2021
> Nhấn F5 để cập nhật thông tin
Các thí sinh và phụ huynh có thể liên hệ tư vấn qua những kênh sau:
1. Số điện thoại: (028)5422 5555 ;*Hotline/Zalo: 094 998 1717, 091 648 1080 * Website: www.uef.edu.vn
2. E-mail: tuyensinh@uef.edu.vn,
3. Kênh tư vấn trực tuyến: https://www.uef.edu.vn/tu-van-tuyen-sinh
|
Năm 2021, bên cạnh phương thức xét tuyển bằng kết quả thi tốt nghiệp THPT, xét kết quả thi Đánh giá năng lực của ĐHQG TP.HCM, UEF còn triển khai phương thức xét tuyển học bạ lớp 12 theo tổ hợp 3 môn và xét tuyển học bạ 5 học kỳ.
Thí sinh có thể liên hệ đăng ký online ngay bây giờ để được Tư vấn chi tiết hơn:
|
